Plano de Aula

Plano de aula: Potenciação e radiciação: potências com expoente fracionário

Plano 9 de uma sequência de 10 planos. Veja todos os planos sobre Relações entre potenciações e radiciações

mais ações

Tem interesse no tema "Neurociência, adolescências e engajamento nos Anos Finais"?

Inscreva-se neste tema para receber novidades pelo site e por email.

Descrição

Este plano de aula foi elaborado pelo Time de Autores NOVA ESCOLA

Autor: Adalberto Batista Leite Júnior

Mentor: Amanda Ferreira Verardo Bilia

Especialista de área: Luciana Maria Tenuta de Freitas



Habilidade da BNCC

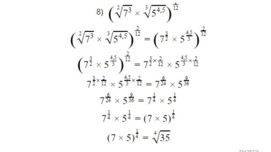
(EF08MA02) Resolver e elaborar problemas usando a relação entre potenciação e radiciação, para representar uma raiz como potência de expoente fracionário.



Objetivos específicos

Representar a potenciação com expoentes fracionários sob a forma de radiciação.

Conhecimentos prévios

Potenciação, radiciação.

Conceitos-chave

Radiciação, potenciação, expoente fracionário.

Recursos necessários

  • Caneta, lápis;
  • Folhas A4 para que os alunos possam usar como rascunho;
  • Atividades impressas em folhas, coladas no caderno ou não.

Habilidades BNCC:

Objetivos de aprendizagem

Representar a potenciação com expoentes fracionários sob a forma de radiciação.

Chatbot

Precisa de ajuda para criar uma aula personalizada?

Crie seu plano de aula em menos de um minuto no WhatsApp.

Aula

Resumo da aula
Resumo da aula

Orientações:Este slide não é um substituto para as anotações para o professor e não deve ser apresentado para os alunos. Trata-se apenas de um resumo da proposta para apoiá-lo na aplicação do plano em sala de aula.
Orientação: Leia atentamente o plano inteiro e as anotações para o professor. Busque antecipar quais questões podem surgir com a sua turma e preveja adequações ao nível em que seus alunos estão.
Compartilhe o objetivo da aula com os alunos antes de aplicar proposta.
Na aba “Sobre o plano”, confira os conhecimentos que sua turma já deve dominar para seguir essa proposta.
Se quiser salvar o plano no seu computador, faça download dos slides na aba “Materiais complementares”. Você também pode imprimi-lo clicando no botão “imprimir”.

Objetivo
Objetivo

Tempo sugerido: 2 minutos.

Orientação: Projete, escreva na lousa ou leia para a turma.

Propósito: Compartilhar o objetivo da aula.

Novo curso gratuito

Conheça nosso mais novo curso sobre adolescências, neurociência e engajamento nos anos finais

VER CURSO